Notice
Recent Posts
Link
Tags
- deep learning
- 딥러닝
- Convolution 종류
- overfeat
- Optimizer
- LeNet 구현
- object detection
- image classification
- SPP-Net
- Weight initialization
| 일 | 월 | 화 | 수 | 목 | 금 | 토 |
|---|---|---|---|---|---|---|
| 1 | 2 | 3 | ||||
| 4 | 5 | 6 | 7 | 8 | 9 | 10 |
| 11 | 12 | 13 | 14 | 15 | 16 | 17 |
| 18 | 19 | 20 | 21 | 22 | 23 | 24 |
| 25 | 26 | 27 | 28 | 29 | 30 | 31 |
Archives
- Today
- Total
I'm Lim
Adam Optimizer 본문
Paper
Ruder, Sebastian. "An overview of gradient descent optimization algorithms." arXiv preprint arXiv:1609.04747 (2016).
논문이 가지는 의미
다양한 optimization 기법을 통해 어떠한 이유로 optimization이 발전해왔는지에 대해 고찰해볼 수 있다. 또한, 어떤 optimization 기법을 사용해야 될지에 관한 직관을 키울 수 있다.
1. Adaptive momentum Estimation Optimizer (Adam)

AdaGrad 계열 Optimizer 정리에서 사용하였던 $g_t$를 다시 정의 해보면 $g_t = \nabla_{\theta_t} J(\theta_{t,i})$이다.
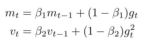
Adam은 Momentum과 AdaGrad 계열을 동시에 고려한 Optimizer이다.
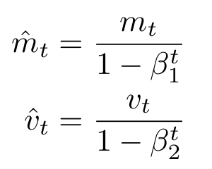
$m_0$ 와 $v_0$는 0으로 초기화 되는데 저자는 $\beta_1$과 $\beta_2$가 1에 가깝다면 $m_t$와 $v_t$가 초기에 0에 편향되는 것을 발견하였다고 한다. 이 편향을 제거하기 위해서 $m_t$와 $v_t$에 다음과 같은 변형을 가한다.

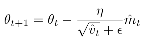
최종적으로 Adam은 다음과 같은 규칙에 의해 업데이트 된다.

Adam 특징
제일 많이 쓰이며 성능이 다른 Optimizer에 비해 좋다고 알려져있다.
'Deep Learning > Optimization' 카테고리의 다른 글
| AdaGrad / AdaDelta / RMSprop (0) | 2022.09.26 |
|---|---|
| Momentum / Nesterov Accelerated Gradient (0) | 2022.09.21 |
| Gradient Descent (0) | 2022.09.18 |
| Optimizer (0) | 2022.08.09 |
Comments