Notice
Recent Posts
Link
Tags
- LeNet 구현
- object detection
- 딥러닝
- Weight initialization
- deep learning
- Convolution 종류
- SPP-Net
- Optimizer
- overfeat
- image classification
| 일 | 월 | 화 | 수 | 목 | 금 | 토 |
|---|---|---|---|---|---|---|
| 1 | 2 | 3 | ||||
| 4 | 5 | 6 | 7 | 8 | 9 | 10 |
| 11 | 12 | 13 | 14 | 15 | 16 | 17 |
| 18 | 19 | 20 | 21 | 22 | 23 | 24 |
| 25 | 26 | 27 | 28 | 29 | 30 | 31 |
Archives
- Today
- Total
I'm Lim
Lecun Initialization 본문
Lecun Initialization
Random Initialization은 극단적인 경우에 모든 가중치 값들이 1이 되거나 -1이 될 수 있다. 이것을 방지하면 되지 않을까라는 생각에서 나온 것이 Lecun Initialization이다. 즉, $Z_i = \Sigma {X_j W_j}$에서 $Z_i$의 범위를 -1에서 1로 만들어 줄 수 있다면 Saturation 영역에 빠지지 않기 때문에 Random initialization의 문제를 해결할 수 있을 것이라고 예상한 것이다.

$Z_i = \Sigma {X_j W_j}$에서 $Z_i$의 범위를 -1에서 1로 만들기 위해서는 가중치를 i 레이어의 노드의 개수를 나눠주면 된다.
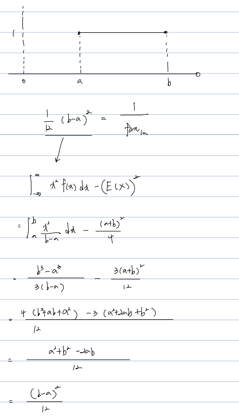
이 i 레이어의 노드의 개수를 $fan_{in}$라 한다.
이 말을 정리하자면, $\sigma^2 = \dfrac {1}{fan_{in}}$으로 하는 정규분포를 이용하여 가중치를 초기화하겠다는 뜻이 된다.
Lecun Initialization 공식
- Uniform Distribution 공식 유도

위 식으로 Uniform distribution의 표준편차를 구할 수 있다. a와 b는 서로 부호만 다른 관계다. 따라서, $\sigma = \sqrt{\dfrac{3}{fan_{in}}}$가 된다.
- Lecun Uniform Initialization
- $X \sim U(-\sqrt{\dfrac{3}{fan_{in}}}, \sqrt{\dfrac{3}{fan_{in}}})$
- Lecun Normal Initialization
- $X \sim N(0, \dfrac {1}{fan_{in}})$
'Deep Learning > Weight Initialization' 카테고리의 다른 글
| Kaiming He initialization (0) | 2022.10.29 |
|---|---|
| Xavier Initialization (0) | 2022.10.23 |
| Random Initialization (0) | 2022.10.23 |
| Zero Initialization (0) | 2022.10.23 |
| Weight Initialization (1) | 2022.09.30 |
Comments